
Introduction
The Antarctic Muon and Neutrino Detector Array (AMANDA) is an optical Cherenkov detector consisting of 677 optical modules arranged in 19 strings frozen ~1.5 km — ~2 km deep in the ice sheet at the geographic South Pole. Each optical module contains a 20 cm photomultiplier tube surrounded by a glass pressure sphere housing. Cherenkov light emitted by energetic particles inside the AMANDA volume is detected by the modules, and resulting PMT pulses are propagated to the surface and processed by trigger logic. An event is recorded when the trigger threshold of 24 modules produce PMT pulses within 2.5 μs. Events recorded by AMANDA are overwhelmingly dominated by downgoing cosmic ray muons produced in air showers, which trigger the detector at ~80 Hz and produce O(109) events per year. Atmospheric neutrinos produced by air showers occasionally interact near the detector, producing electromagnetic cascades (νe) and muon tracks (νμ), and AMANDA records O(103) such events per year. Muon tracks are reconstructed with 1.5o — 2.5o median accuracy. Cuts on reconstruction angle and event quality eliminate the vast majority of downgoing events, leaving upward propagating neutrino events with a typical energy of several hundred GeV and a small fraction of misreconstructed cosmic ray muon tracks. Neutrinos from an extraterrestrial source would be detected similarly and show as an excess over the atmospheric neutrino background. AMANDA-II has operated from 2000 — 2006 and has recorded 6595 upgoing events in 3.8 years of livetime during this period. IceCube construction was finished in December of 2010, and the completed detector is comprised of over 5000 DOMs on 86 strings with a total volume of 1 cubic kilometer.

Data release
The final 6595 events are available as a text file with declination, right ascension and angular resolution (degrees) for each event. Also included is the number of modules hit, a rough measure of the energy of the event. Event times (MJD) are currently withheld pending completion of blinded time-dependent analysis.
AMANDA 7 Year Data
Click here to download (.zip, 180KB)
Please cite use of this data as R. Abbasi, et al., arXiv:0809.1646. Phys. Rev. D 79, 062001 (2009).
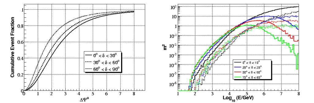
Interpreting This Data
Simulations of the AMANDA-II characterize the detector response to neutrino events as a function of energy and zenith angle. The effective area shown below indicates the area of an equivalent detector sensitive to 100% of throughgoing neutrinos and can be directly convoluted with a theoretical neutrino flux to obtain event rates. Solid lines indicate the (νμ + anti-νμ) average effective area, while dotted lines indicate the (ντ + anti-ντ) effective area. The angular reconstruction error in simulations of an E-2 neutrino spectrum are also shown below for several declination bands.

Basic AMANDA Publications
- J. Ahrens et al., Muon Track Reconstruction and Data Selection Techniques in AMANDA, Nucl. Inst. Meth. A 524, 169 (2004).
- M. Ackermann et al., Search for Ultra High-Energy Neutrinos with AMANDA-II. Astrophys. J. 675 1014 (2008).
- A. Achterberg et al., The Search for Muon Neutrinos from Northern Hemisphere Gamma-Ray Bursts with AMANDA. Astrophys. J. 674 357 (2008).
- A. Achterberg et al., Multi-year search for a diffuse flux of muon neutrinos with AMANDA-II. Phys. Rev. D 76 042008 (2007).
- A. Achterberg et al., Search for Neutrino-induced Cascades from Gamma-Ray Bursts with AMANDA. Astrophys. J. 664 397 (2007).
- A. Achterberg et al., Five years of searches for point sources of astrophysical neutrinos with the AMANDA-II neutrino telescope. Phys. Rev. D 75 102001 (2007).
- A. Achterberg et al., Limits on the high-energy gamma and neutrino fluxes from the SGR 1806-20 giant flare of December 27th, 2004 with the AMANDA-II detector. Phys. Rev. Lett. 97 221101 (2006).
- M. Ackermann et al., Limits to the muon flux from neutralino annihilations in the Sun with the AMANDA detector. Astropart. Phys. 24 459 (2006).
For any questions about this data release, please write to data@icecube.wisc.edu.