Many people think of our sun as being bright. It is an enormous ball of glowing gas that illuminates our days and provides Earth with heat and light. But it is also being explored for signals of something darker: dark matter. Dark matter is not literally dark; it is invisible because it does not interact […]
Research
IceCube conducts a search for multiple flaring episodes from neutrino sources with 10 years of data
The IceCube Neutrino Observatory, a peculiar telescope located in the ice of the South Pole, was built to detect mysterious particles called neutrinos that come from outer space. To pinpoint their cosmic sources, IceCube researchers look for unexpected excesses of neutrinos coming from localized directions in the sky. In a paper published in 2020, IceCube […]
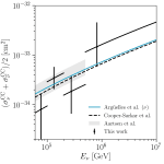
IceCube analysis puts most general constraints on nonstandard neutrino interactions
For decades, physicists have theorized that the current best theory describing particle physics—the “Standard Model”—was not sufficient to explain the way the universe works. In the search for physics beyond the Standard Model (BSM), elusive particles called neutrinos might point the way. Neutrinos are sometimes called “ghost particles” because they so rarely interact with matter […]
10 years of IceCube data now publicly available at NASA’s HEASARC archive
The IceCube Collaboration has teamed up with NASA’s High-Energy Astrophysics Science Archive Research Center (HEASARC) to share 10 years of IceCube data with the public. Supported by the Astrophysics Division of NASA’s Science Mission Directorate and a service of the Astrophysics Science Division at NASA’s Goddard Space Flight Center (GSFC), the HEASARC is the primary […]
New machine learning method dramatically improves IceCube data processing
Machine learning has arrived at the South Pole. Well, not literally, but machine learning is now being applied to data collected at the South Pole by the IceCube Neutrino Observatory, an unconventional telescope made up of thousands of sensors buried in ice. IceCube’s goal is to detect tiny, nearly massless particles called neutrinos that fly […]
IceCube looks for low-energy neutrinos from gravitational wave events
Ever since the first detection of gravitational waves by LIGO and Virgo, the IceCube Neutrino Observatory has been searching for neutrino counterparts to gravitational waves. Detecting both gravitational waves and neutrinos from the same source would be a groundbreaking step in multimessenger astronomy, the field that uses multiple kinds of cosmic messengers to see the […]
For the first time, IceCube looks for neutrinos from solar flares
Our sun shines not only in light but also in neutrinos. These tiny, chargeless, and nearly massless particles are produced deep in the sun’s core, but we also expect them to be created in the solar atmosphere, either by collisions of cosmic rays or during solar flares. The IceCube Neutrino Observatory at the South Pole, a […]
New algorithm improves IceCube’s pointing accuracy
When the IceCube Neutrino Observatory sees a high-energy neutrino from outer space, IceCube researchers want to know where it came from. The unconventional “telescope” uses a three-dimensional grid of supersensitive light sensors buried under the ice at the South Pole to detect signals from these tiny, nearly massless fundamental particles, which rarely interact and can […]
IceCube detection of a high-energy particle proves 60-year-old theory
On December 8, 2016,* a high-energy particle called an electron antineutrino hurtled to Earth from outer space at close to the speed of light carrying 6.3 petaelectronvolts (PeV) of energy. Deep inside the ice sheet at the South Pole, it smashed into an electron and produced a particle that quickly decayed into a shower of […]
Neutrino astronomy and glaciology meet at IceCube’s Polar Science Workshop
The IceCube Neutrino Observatory has a uniquely close relationship with ice. The telescope needs ice—and a lot of it—to detect the astrophysical neutrinos it was built to study. In fact, most of IceCube’s instruments are embedded in a cubic kilometer of ice at the South Pole. Construction of the detector required drilling 2.5 kilometers straight […]