The origin of high-energy cosmic rays remains a long-standing mystery in particle astrophysics. However, it is thought that they are accelerated by galactic sources called PeVatrons, capable of accelerating particles to energies greater than 1 PeV. Some candidate galactic PeVatrons include pulsar wind nebulae (PWNe)—a type of nebula generated by strong winds of charged particles from pulsars, rapidly rotating stars—and remnants of star explosions called supernova remnants (SNRs). Although the mechanism of acceleration still eludes scientists, it remains critical to understanding the origin of cosmic rays.
When these accelerated cosmic rays interact with galactic matter or photon fields, they can produce gamma rays and neutrinos, tiny, nearly massless cosmic messengers. These neutrinos are detected by the IceCube Neutrino Observatory, a cubic-kilometer neutrino detector located at the geographic South Pole in Antarctica.
Likewise, the Large High Altitude Air Shower Observatory (LHAASO) located in Sichuan, China, observes air showers that are triggered by gamma rays and cosmic rays. Recently, the LHAASO collaboration reported the detection of ultra-high-energy (UHE) sources with gamma-ray emissions above 100 TeV. These UHE gamma rays most likely originated from cosmic-ray interactions, where neutrinos may also be found.
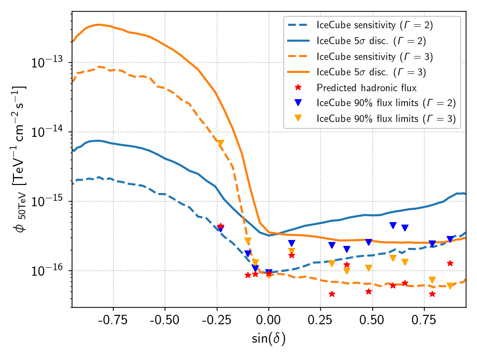
In a paper recently submitted to The Astrophysical Journal Letters, the IceCube Collaboration presents a catalog and stacking search on the first LHAASO catalog, the largest list to date of UHE gamma-ray sources. Although the collaborators found no significant correlation between the 12 LHAASO UHE gamma-ray sources and neutrino emission, they set constraints on the neutrino fluxes from those same sources.

“Both gamma rays and neutrinos can help us identify the sources of the cosmic rays,” explained Kwok Lung Fan, a physics PhD student at the University of Maryland, and Yu-Ling Chang, a postdoctoral associate at Shanghai Jiao Tong University, both leads on the study. “If we can find neutrino emission from those same sources using IceCube, we could confirm that the sources are indeed the sources of cosmic rays. “Identifying neutrinos from these sources would be the first conclusive evidence of galactic PeVatrons, opening a window for further study on the physics of cosmic rays.”
The researchers performed an individual source search for neutrino emission from each of the 12 LHAASO UHE gamma-ray sources with 11 years of IceCube data. They also performed a stacking search on these sources in addition to two specific source classes, SNRs and PWNe. For the stacking analyses, the LHAASO sources were divided into three groups according to their possible association with PWNe, SNRs, or all other sources.
The researchers found none of the LHAASO UHE gamma-ray sources are a significant source of neutrinos, allowing IceCube to set limits on the neutrino fluxes from those sources. They also constrained the fraction of UHE emission due to cosmic-ray interactions for those sources.
Future PeVatron studies will no doubt be enhanced with the planned IceCube-Gen2 detector, which will increase the effective area to five times that of IceCube and boasts improved angular resolution. Ultimately, this will improve the sensitivity of IceCube to galactic neutrino sources.
“With the limits we provided in the paper, theorists could exclude some physics models of the acceleration mechanism of the gamma-ray sources while finding explanations for the origin of gamma rays of those potential PeVatrons,” said Fan and Chang. “In the future, with more UHE sources found, we could further test the hypothesis that there are PeVatrons in our galaxy.”
+ info “Searches for Neutrinos from LHAASO ultra-high-energy γ-ray sources using the IceCube Neutrino Observatory,” IceCube Collaboration: R. Abbasi et al., The Astrophysical Journal Letters 945 (2023) 1, L, iopscience.iop.org, arxiv.org/abs/2211.14184