Dark matter searches in IceCube focus on annihilation signatures, namely neutrinos produced as a result of the annihilation of dark matter particles gravitationally trapped by the Sun or of dark matter in the galactic halo and in galaxy clusters.
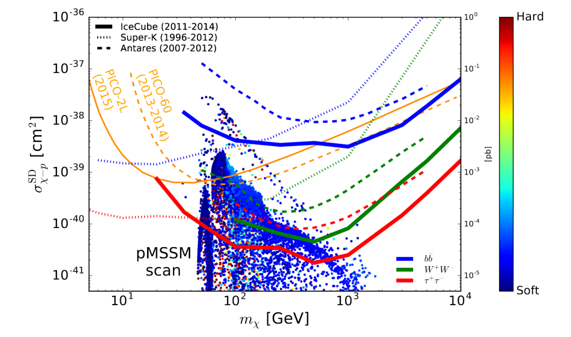
The first IceCube search for dark matter annihilation in the Sun was [[published http://journals.aps.org/prl/abstract/10.1103/PhysRevLett.110.131302 ]] in 2013 and produced the world’s best limits on the spin-dependent cross section for weakly interacting massive particles, also called WIMPs. The IceCube Collaboration has recently presented an update to this search using the first three years of data with the completed detector. The search, which again did not observe neutrinos originating from dark matter annihilations, has now improved these limits by a factor of 2 to 4, reaching 1.46×10-5 pb (1pb = 10-36 cm2) for a dark matter particle of 500 GeV mass annihilating into τ+τ− particles. These are again the most stringent limits on the spin-dependent dark-matter–proton scattering for WIMP masses above 50 GeV. This study was submitted to the European Physical Journal C.

Evidence for dark matter is based on direct observations of the cosmos, but after decades of dedicated searches, scientists have not yet identified any type of dark matter particle. Many of these searches focus on WIMPs with masses ranging from a few GeV to a few TeV.
WIMPs in the Milky Way’s halo can be gravitationally trapped by the Sun as it moves through the galaxy, building up an overdensity of dark matter in the solar core where energetic neutrinos can be created through the annihilation of dark matter particles into known particles, such as taus or heavy quarks.
IceCube could detect these dark-matter–induced neutrinos as a point-like excess from the direction of the Sun, at energies of a few GeV to around 1 TeV. Above 1 TeV, most neutrinos are absorbed in the Sun.
In this search, IceCube researchers have used data taken between May 2011 and May 2014, but only for the austral winter periods when the Sun is below the horizon, which allows almost eliminating the background of downgoing atmospheric muons. Using the good directional resolution of well-reconstructed tracks, they search for a dark matter signal from the Sun as it moves over the sky. Even though huge amounts of neutrinos are created during the nuclear reactions that power the Sun, these electron neutrinos are too low in energy to be detected by IceCube. “Any statistically significant excess of GeV muon neutrinos from the direction of the Sun is a smoking gun signature for dark matter,” explains Mohamed Rameez, one of the corresponding authors of this paper, who worked on this study as a PhD student at the University of Geneva.
Using data from both the main IceCube array, with an energy threshold of around 100 GeV, and the DeepCore subarray, a more densely instrumented region in the bottom-center of the detector that lowers the energy threshold to around 10 GeV, this study searches for dark matter annihilations into taus, W bosons and b quarks. For all channels, data shows a good agreement with the background-only hypothesis, i.e., no dark matter. IceCube reserachers have used these results to improve the limits on the dark matter annihilation cross section to about two to four times below previous IceCube analyses. The results for the spin-dependent WIMP-proton scattering set a new world’s best limit. For spin-dependent scattering, results are compatible with direct detection experiments.
“With this search we improved many of the techniques we employ to analyze our data. Now, with additional years of operation and possible extensions to the IceCube detector, we want to continue this kind of search and so further improve our limits,” adds Marcel Zoll, also a corresponding author, who worked on this study as a graduate student at Stockholm University.
+ info “Search for annihilating dark matter in the Sun with 3 years of IceCube data,” The IceCube Collaboration: M. G. Aartsen et al. European Physical Journal C77 (2017) 3, arxiv.org/abs/1612.05949