Neutrinos are tiny, nearly massless particles that traverse long distances across the universe, interacting with matter only through the weak force. During their journey through the atmosphere and Earth, they can transform, or “oscillate” from one “flavor”—electron, muon, and tau—to another. This phenomenon has led scientists to conclude that neutrinos have nonzero masses, but despite decades of observations, the structure and origin of the Standard Model neutrino masses remain elusive.
One possible explanation could be the existence of heavy neutral leptons (HNLs), referring to right-handed (not interacting through the weak force) neutrinos with much larger masses in the GeV scale.
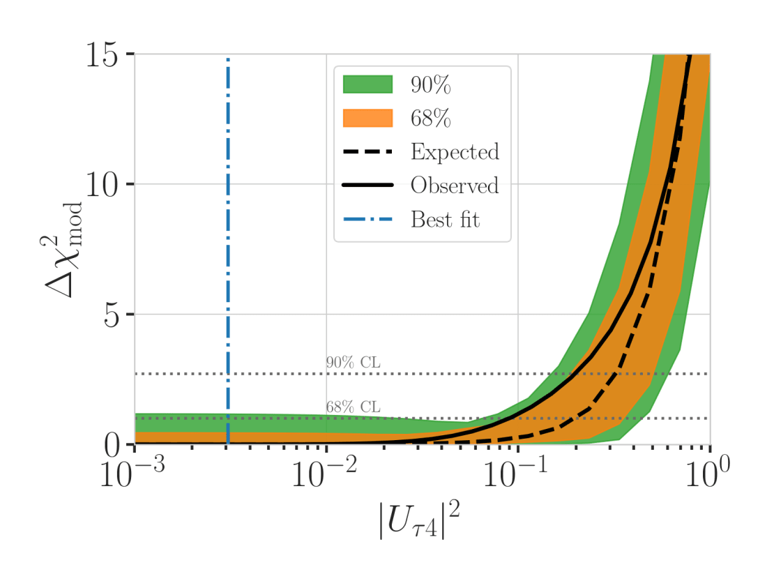
The IceCube Collaboration presents the first search for HNLs using 10 years of data collected with the IceCube Neutrino Observatory at the South Pole. No significant signal of heavy neutral leptons is observed for any of the three tested masses. Their findings are reported in a paper submitted to Physical Review D.



An earlier study in 2017 predicted that a neutrino that oscillates into the tau flavor and reaches IceCube could interact in the detector and create an unstable HNL that subsequently decays, producing a unique morphological signature. Motivated by this prediction, researchers looked for a double-cascade morphology of neutrino events—the light patterns created by HNL production and decay in the IceCube detector. The search was performed with the denser DeepCore subarray, which is optimized to detect neutrinos with energies down to a few GeV.

“In a nutshell, we produced detailed simulations using the minimal heavy neutral lepton model as a basis, with different HNL masses as input,” says Leander Fischer, a postdoctoral researcher at Deutsches Elektronen-Synchrotron (DESY) and co-lead on the analysis. “Then, we developed an analysis searching for this new kind of signal on top of the existing Standard Model neutrino simulation.”
The analysis was a joint effort between Fischer and his supervisor, DESY staff scientist Summer Blot, and Harvard University professor Carlos Argüelles-Delgado and his PhD student, Julia Book.


Since the collaborators could not explicitly pinpoint the double-cascade signature, the final analysis looked for an excess of cascade-like events in the atmospheric neutrino data. The group compared the simulation expectation, including Standard Model and HNL events, to the data while varying the parameters that govern the simulation until it best matched the data.
The analysis did not find HNL events in the atmospheric neutrino data, but set upper limits on the strength parameter of the coupling to the HNLs and tau neutrinos.
“For the global HNL field, this is a first step in strengthening the existing limits through a new channel of atmospheric tau neutrinos, an important complementary avenue to constrain the HNL parameter space,” says Fischer.

With the completion of IceCube’s extension, the IceCube Upgrade, this will significantly enhance the sensitivity to low-energy events and therefore, yield a better chance of identifying the unique HNL signature.
“It was quite difficult to separate the HNL signal from the standard atmospheric neutrino background given the sparse instrumentation of DeepCore,” says Blot. “In this way, the IceCube Upgrade will be a game changer when it’s installed later this year. This much-denser detector will offer another chance to look for HNLs with improved resolutions, higher statistics, and a better signal to background ratio.”
+ info “Search for Heavy Neutral Leptons with IceCube DeepCore,” IceCube Collaboration: R. Abbasi et al. Submitted to Physical Review D. arxiv.or/abs/2502.09454