Southern skies are both appealing and challenging for point source searches in IceCube. Gamma-ray telescopes have observed many galactic sources, all of them with emission below 100 TeV, suggesting that galactic neutrino emission may also be prominent in this energy range. However, the atmospheric muon background vastly dominates IceCube data in the Southern Hemisphere. Point source searches performed to date have never allowed us to explore that region of the sky with a good pointing resolution for astrophysical neutrinos below a few hundred TeV.
Today, the IceCube Collaboration presents a new technique to lower the energy threshold for neutrino detection while keeping a pointing resolution to within less than a degree. IceCube researchers have used this technique in a joint search with data from a previous analysis using throughgoing muon neutrinos. No point source has been found, but sensitivity for searches below 100 TeV has been improved by a factor of ten.
IceCube has also done an a posteriori analysis of the highest energy event, with a reconstructed energy of around 100 TeV, and has found it to be incompatible with the atmospheric-background-only hypothesis with a 2.8 sigma significance. These results have been submitted to The Astrophysical Journal Letters.

Until now, IceCube searches for point sources in the Southern Hemisphere have focused on high-energy throughgoing tracks or high-energy events that start inside the detector, which are mostly cascade events.
Using tracks only, scientists have been able to reconstruct the direction of the incoming neutrino to within less than a degree, but events had to be selected above a fairly high energy threshold to remove the atmospheric muon background. When looking for neutrino-induced events that start in the detector, the signal sample is dominated—as expected—by cascade events, i.e., electron and tau neutrino interactions and neutral-current muon neutrino interactions. However, cascade events have a poorer angular resolution around 15 degrees. Thus, neither of these approaches is optimal for searching for neutrino emission from point sources below or around 100 TeV.
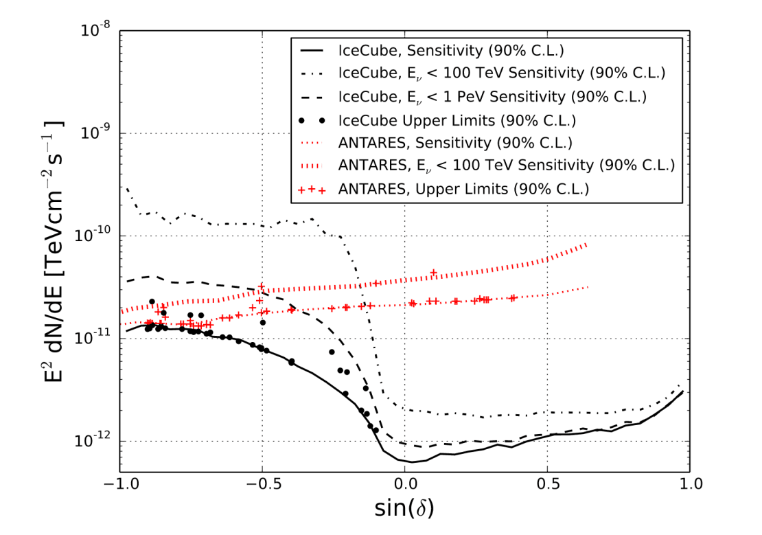
The analysis presented today by the IceCube Collaboration is based on neutrino tracks that start inside the detector, enhancing searches at lower energies. A total of 549 starting track events were selected in the IceCube data from 2010 to 2013 along with the throughgoing muon events from a previous search that included data from 2008 to 2012. Researchers looked for point sources anywhere in the sky and also for neutrinos correlated to sources in existing catalogs. The results do not allow identification of any astrophysical neutrino source, but they show a discovery potential that is a factor of 2 to 3 times better for sources emitting below 1 PeV and an improvement by a factor of 10 for sources emitting below 100 TeV.
As in previous searches, these results are used to constrain several neutrino emission models, especially those targeting emission from the Galactic Center. “This analysis helps fill in a blind spot for IceCube. By applying the veto technique to muon tracks, we are able to greatly improve our point source searches in the southern sky,” says Jacob Feintzeig, who was a graduate student at UW–Madison when this study was done.
Finally, the study also looks more closely at the hottest spot in the sky map and identifies a single high-energy muon neutrino event as the main contributor to the excess at this location. The event deposits 84 TeV inside the detector, and its track continues beyond the IceCube volume, with a total reconstructed energy of 124 TeV.
Although a neutrino of about 100 TeV in energy is no longer so exciting for IceCube—we have seen many of them by now—the one found in this analysis brought a bit of frenzy to the collaboration. Compared to the expectations from background, i.e., of atmospheric origin, the event represents a deviation of 2.8 sigma.
Since the event is vertically downgoing and starts deep inside the detector, there is very little chance it is an atmospheric muon. It is also very unlikely to be an atmospheric neutrino since at this angle it should be accompanied by a muon from the same shower. So, for high-declination events, the veto technique used to select events starting in the detector is also a great tool for point source searches. “This is the first step in utilizing this technique for the purpose of localizing sources in the sky. We are excited to exploit the IceCube detector to its full potential,” explains Naoko Kurahashi Neilson, an assistant professor at Drexel University and also a corresponding author of this work.
Info “Lowering IceCube’s Energy Threshold for Point Source Searches in the Southern Sky,” The IceCube Collaboration: M.G.Aartsen et al, The Astrophysical Journal Letters 824 (2016) 2, iopscience.iop.org arxiv.org/abs/1605.00163