When cosmic rays crash into the Earth’s atmosphere, air showers containing atmospheric muons and neutrinos are produced. The atmospheric neutrinos are then detected by DeepCore, a denser array of sensors in the bottom center of the IceCube detector at the South Pole. Compared to the main IceCube detector, DeepCore is sensitive to neutrinos down to energies of only a few GeV, or about 100 times lower in energy. However, the reconstruction of low-energy (sub-100 GeV) neutrino events is challenging due to the relatively sparse detection units and detection medium.
Neural networks are becoming a powerful tool in high-energy physics, particularly for their ability to extract patterns from complex data. In an atmospheric neutrino oscillation analysis published previously, the IceCube Collaboration designed and optimized dedicated convolutional neural networks (CNNs) to reconstruct low-energy neutrinos using over 10 years of DeepCore data. The oscillation results were the most precise to date using the highest statistics atmospheric neutrino sample from DeepCore.



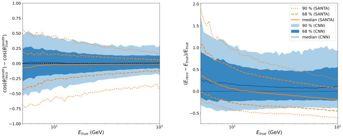
In this work, the IceCube Collaboration applied a different approach using CNNs to reconstruct sub-100 GeV neutrinos. This approach achieved a reconstruction resolution comparable to traditional likelihood-based methods while offering a significant improvement in processing speed. Their results were presented in a study submitted to the Journal of Instrumentation.
The study was led by Shiqi Yu, a research assistant professor at the University of Utah, and Jessie Micallef, a postdoctoral fellow at the U.S. National Science Foundation AI Institute for Artificial Intelligence and Fundamental Interactions. Micallef and Yu also co-led the previous neutrino oscillation analysis that was based on this CNN study.
“For this approach, we extract statistical features from the digitized pulses recorded by each digital optical module to effectively capture the key characteristics of the readout,” says Yu.

Yu explains that the information is then fed into a CNN, which allows it to learn complex patterns in order to accurately predict the variables of neutrino interactions within the DeepCore detector that can be used in further data analyses.
“The CNN developed in this study can be extended to reconstruct neutrino interactions in the upcoming IceCube Upgrade enhancement,” says Micallef. “It currently predicts five independent physics variables quickly and accurately, and it could be expanded to include additional variables that could help further explore neutrino properties and behaviors.”
+ info “Fast Low Energy Reconstruction using Convolutional Neural Networks,” IceCube Collaboration: R. Abbasi et al. Submitted to the Journal of Instrumentation. arxiv.org/abs/2505.16777